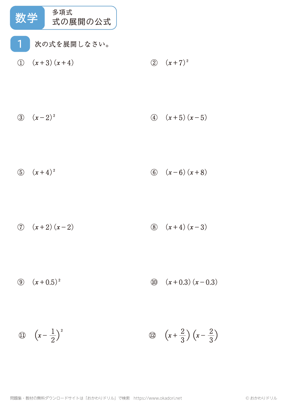
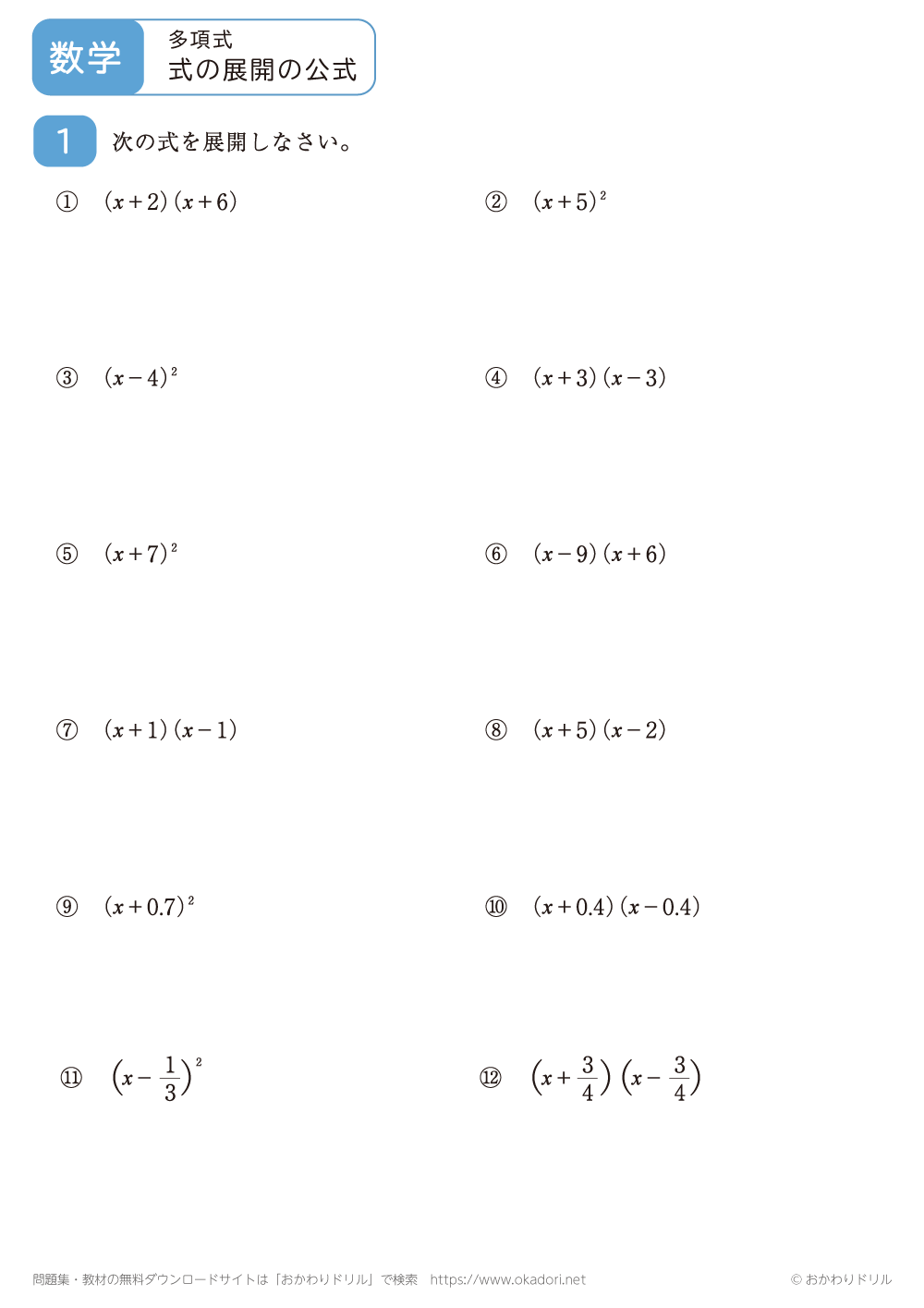
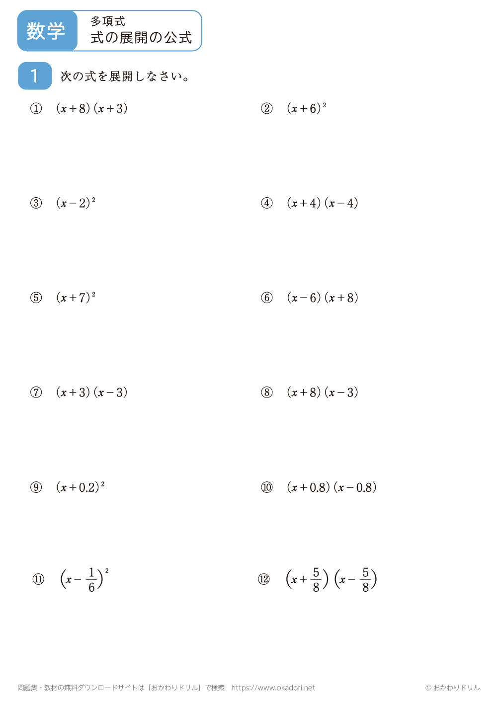
展開公式の基本が学べる中3数学の無料プリントです。公式の形や計算方法を理解する問題をPDFでダウンロードして印刷し、定期テスト対策や家庭学習にご利用ください。
この問題のポイント
・式を展開するときは、次の公式を使って展開することができます。
公式1 (x+a)(x+b)=x2+(a+b)x+ab
公式2 (x+a)2=x2+2ax+a2
公式3 (x-a)2=x2-2ax+a2
公式4 (x+a)(x-a)=x2-a2

ぴよ校長
式の展開の公式の問題を解いてみよう!
式の展開の公式の問題です。4つの展開の公式を覚えて問題を解いてみましょう。

ぴよ校長
それでは、さっそく問題を解いてみよう!
「式の展開の公式」の学習プリントはこちら
下の画像やリンク文字をクリックするとのPDFファイルが開きます。ダウンロード・印刷してご利用ください。
解説テキスト
問題プリント
多項式
-
-
多項式と単項式の乗法
多項式と単項式の乗法が学べる中3数学の無料プリントです。分配法則を使った計算の基 ...
-
-
多項式と単項式の除法
多項式と単項式の除法が学べる中3数学の無料プリントです。分数や逆数のかけ算を使っ ...
-
-
多項式の乗法
多項式どうしの乗法が学べる中3数学の無料プリントです。展開の基本となる計算練習を ...
-
-
展開公式
展開公式の基本が学べる中3数学の無料プリントです。公式の形や計算方法を理解する問 ...
-
-
展開公式の利用
展開公式の利用問題が学べる中3数学の無料プリントです。公式を使った計算練習をPD ...
-
-
因数分解の基本
因数分解の基本が学べる中3数学の無料プリントです。式の分解方法や基本パターンをP ...
-
-
因数分解公式
因数分解の公式が学べる中3数学の無料プリントです。代表的な公式の使い方をPDFで ...
-
-
因数分解公式の利用
因数分解公式の利用問題が学べる中3数学の無料プリントです。応用的な計算問題をPD ...






