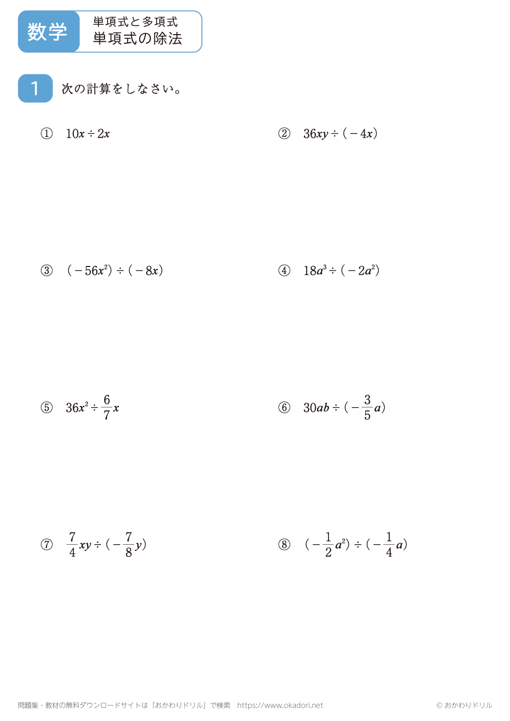
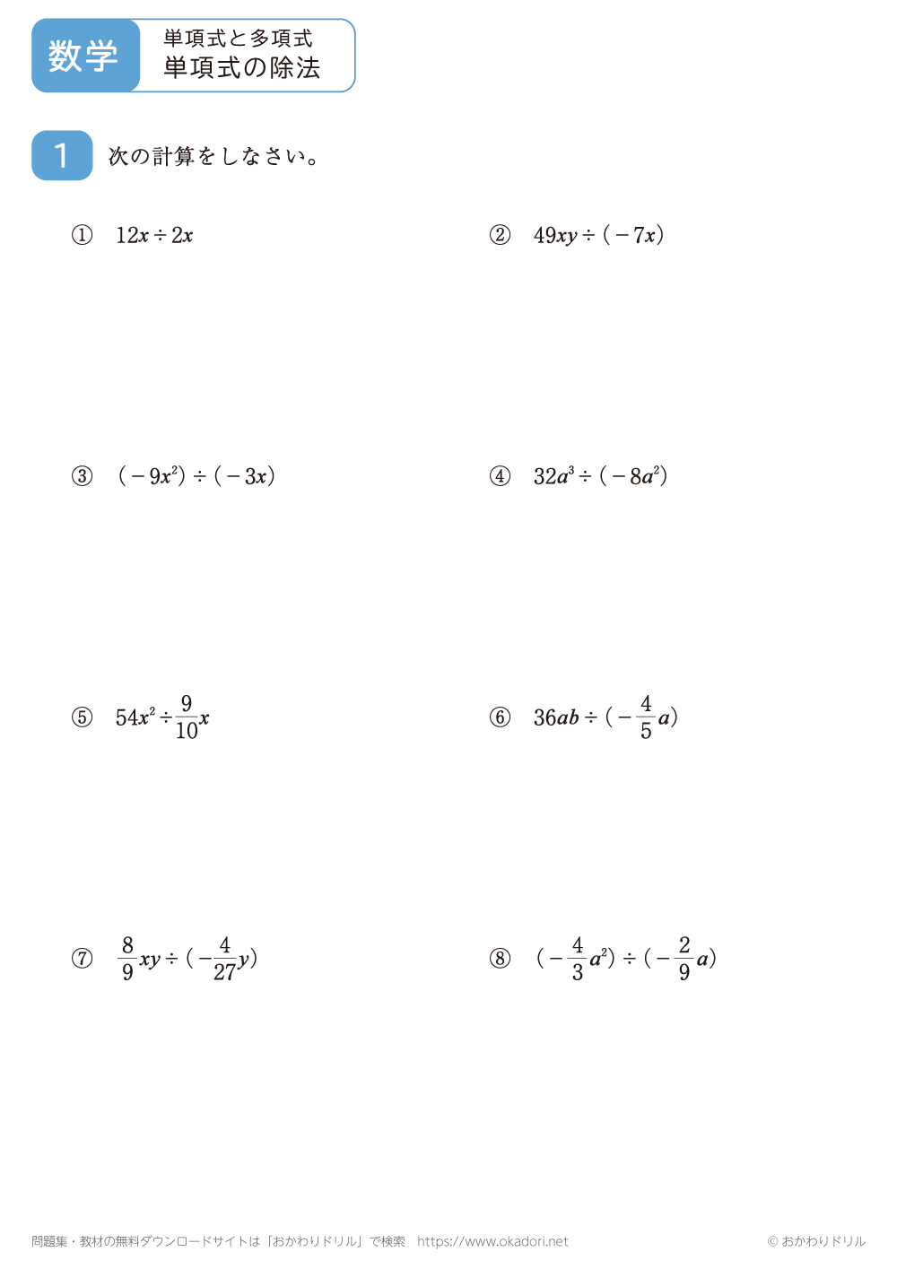
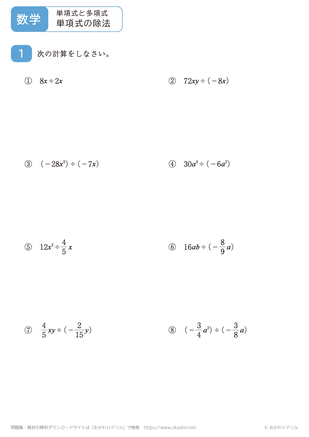
単項式の除法が学べる中2数学の無料プリントです。係数や文字の割り算をPDFでダウンロードして印刷し、定期テスト対策や家庭学習にご利用ください。
この問題のポイント
・単項式を単項式でわる除法は、分数の形にして係数と文字を約分して計算します。

単項式の除法の問題です。単項式を単項式でわる問題では、分数の形にして係数と文字を約分して計算しましょう。

「単項式の除法」の学習プリントはこちら
下の画像やリンク文字をクリックするとのPDFファイルが開きます。ダウンロード・印刷してご利用ください。
中2数学の無料プリント一覧
単項式と多項式
-
-
単項式と多項式の次数
単項式と多項式の次数が学べる中2数学の無料プリントです。次数の求め方の基本問題を ...
-
-
同類項のまとめ方
同類項のまとめ方が学べる中2数学の無料プリントです。同類項の見分け方や計算の基本 ...
-
-
多項式の足し算
多項式の足し算が学べる中2数学の無料プリントです。同類項をまとめる計算問題をPD ...
-
-
多項式の引き算
多項式の引き算が学べる中2数学の無料プリントです。符号に注意した計算問題をPDF ...
-
-
単項式の乗法
単項式の乗法が学べる中2数学の無料プリントです。係数や文字の積の計算問題をPDF ...
-
-
単項式の除法
単項式の除法が学べる中2数学の無料プリントです。係数や文字の割り算をPDFでダウ ...
-
-
多項式と数の乗法
単項式と数の乗法が学べる中2数学の無料プリントです。分配法則を使った計算問題をP ...
-
-
多項式と数の除法
多項式と数の除法が学べる中2数学の無料プリントです。割り算の基本問題をPDFでダ ...
-
-
多項式(かっこを含む)計算
かっこを含む多項式の計算が練習できる中2数学の無料プリントです。分配法則や符号の ...
-
-
多項式(分数)計算
分数を含む多項式の計算が練習できる中2数学の無料プリントです。通分や同類項を整理 ...
-
-
式の値
式の値の求め方が学べる中2数学の無料プリントです。文字に数を代入する計算問題をP ...





